두어달전 매경헬스에 올라온 기사를 보니
체지방감소 유산균 '비에날씬' 누적매출 6000억 원 육박이라는 ~
홈쇼핑에서 자주 접하는 보조제였는데 이렇게나 급성장을 했을지는 몰랐었네요.
아마도 다이어트를 하다보면 겪을 수밖에 없는 장문제.
그래서 아마도 장유산균이라는 원료가 더 획기적이었을 꺼 같은 개인적인 생각.
매경헬스뉴스의 '24.06.27 보도에 따르면, '체지방 감소'를 목표로 한 건강기능식품의 구매액이 매년 증가하는 추세를 보이고 있다. 한국건강기능식품협회 자료에 따르면, 이러한 제품의 구매액은 2019년 1,497억 원에서 2022년 2,406억 원으로 크게 증가했다. 특히 2019년 기준으로 가구당 5년간 평균 구매액이 11만 3,643원에 달하는 등, 결코 저렴하지 않은 가격에도 불구하고, 이 시장의 규모는 지속적으로 확대되고 있다. 라고 밝히고 있네요.

문득 2015년부터 다이어트를 했으니 10년은 족히 흘렀으나,
지금도 난 다이어트를 입에 달고 사네요.
다이어트를 입에 달고 살지 않는 주위분들을 보면 대개....
1. 조금만 먹어도 배불러라는 말이 나오는.
2. 입이 짧아 한 개에 금방 식상해하는.
3. 단짠을 좋아하지않고 담백한 자연스런 맛을 좋아하는.
그런 분들에 비해 나를 돌아봤을 때,
한 개에 꽂히면 바닥을 보고마는. 배가 불러도 남아 있으면 왠지 찝찝하기에 그래서 클리어하는.
무엇인가를 사왔는데 입에 안대면 예의가 없어 입에 살짝 대니, 그때부터 입터져 다른 것으로 채우는.
한 개로는 만족 못하고 이어지는 3-5개 코스메뉴들 (떡볶이, 김밥, 전, 쥐포류, 아이스크림, 과자, 맥주, 핫바, 과일 등등등)
그래서 몇 킬로 뺐다싶으면 다시 원상복귀. 어떨 땐 2-3킬로 오버되기도.
그러다 정신줄 잡고 다시 시도. 그래서 매번 쳇바퀴 돌듯이 하는.
고로... 이런 나를 보아도.
다이어트 시장은 결코 망하지 않을 것이라는 전망이 드네요.
ㅎㅎ 이것에 해당하지 않을 이들이 별로 없을 거 같은.

아무래도 체지방이 증가하면 비만에 이르게 되고 이러한 비만은 다른 질환으로 쉽게 갈 수 있는 디딤돌을
만들어주는 것이기에 다른 어떤 것보다도 관심의 대상이 아닐 수 없는 듯하네요.
오늘은?

락토바실러스 가세리 BNR17(모유에서 유래된 유산균)에 대해서 논문서칭을 통해 공부를 좀 해봐야겠어요.

* 체지방 감소란?
음식은 소화 과정을 거쳐 장에서 흡수된 후 필요한 곳에 사용. 남은 영양소는 간이나 근육에 비상에너지로 저장되며, 일부는 체지방으로 축적. 체지방은 몸을 보호하고, 에너지가 부족할 때 공급원으로 사용.
* 체지방 감소가 중요한 이유?
체지방이 과도하면 에너지를 생산하는 호르몬에 변화가 생기고, 혈관 기능, 혈당 조절, 간 기능 등에 문제가 발생. 따라서 체지방을 적정 수준으로 줄여서 체력을 유지하는 것이 중요.
* 체지방 감소와 관련된 건강기능식품은 어떤 이점을 주니?
- 당질과 지방 소화 억제: 식이섬유 등을 포함한 제품은 소화 효소를 방해하거나 소장에서의 흡수를 어렵게 하여 섭취 에너지를 줄임.
- 지방산 합성 억제: 공액리놀렌산 등의 성분은 여분의 에너지가 지방으로 합성되는 과정을 방해.
- 지방 에너지 전환 촉진: 카르니틴, 지방분해 효소, 히비스커스, 가르시니아캄보지아 등을 포함한 제품은 지방을 에너지로 변환하는 과정을 도움.
* 체지방 감소에 도움을 주는 기능성 원료 중 개별인정형 기능성 원료란?
:기능성원료는 건강기능식품의 제조에 사용되는 원료로, 두 가지 유형이 있음. 첫째, 식품의약품안전처가 기준과 규격을 고시한 고시된 원료이며, 둘째, 개별적으로 식품의약품안전처의 심사를 통해 인정받은 개별인정 원료임.
"건강기능식품 공전"에 등재되지 않은 원료는 식품의약품안전처장이 개별적으로 인정한 원료를 의미함. 영업자는 이 원료의 안전성, 기능성, 기준 및 규격 자료를 제출하여 평가를 통해 인정받아야 하며, 인정된 업체만이 해당 원료를 제조 또는 판매할 수 있음. 현재까지 약 200종의 기능성 원료가 개별 인정되었음. 이러한 원료는 특정 조건을 충족할 경우 건강기능식품 공전에 등재되어 고시형 원료로 전환될 수 있음.
[논문서칭 1] Lactobacillus gasseri BNR17은 dexamethasone으로 유도된 BALB/c 마우스와 C2C12 Myotubes에서 근육 손실 개선

[논문서칭 2] 비만견의 체지방에 대한 Lactobacillus gasseri BNR17을 함유한 신바이오틱 제제의 효과

연구내용: 이 연구는 Lactobacillus gasseri BNR17을 포함한 신바이오틱 제제가 비만한 개에서 체지방을 줄이는 효과를 평가했음. 10주 동안 비만한 개들에게 이 제제를 투여한 결과, 체중, 신체 상태 점수, 피하 지방량 및 제3 요추 척추 수준에서의 비율이 상당히 감소한 것으로 나타났음. 비만견의 미생물 군집에 대한 다양성 및 기능 분석 결과, 미생물 다양성이 증가. 게다가, 신바이오틱 제제를 보충한 후 탄수화물 및 지질 대사가 풍부하게 증가했음(하지만 탄수화물, 지질 대사와 관련 기능 분석에서 유의한 차이는 보이지 않았음 아래 도표 참조).

따라서, L. gasseri BNR17을 함유한 신바이오틱 제제가 개의 체지방을 줄이고 비만을 해결하는 데 역할을 할 수 있음을 보여주었음.
[논문서칭 3] 난소 절제 쥐의 폐경 후 증상에 대한 Lactobacillus gasseri BNR17 의 효과

연구내용:
폐경은 노년 여성에게 나타나는 자연스러운 과정으로, 난소에서 분비되는 에스트로겐과 프로게스테론의 활동이 감소하면서 골다공증, 통증 민감성, 기분 장애, 질 건조증, 심혈관 질환 등의 신체적·심리적 변화를 초래. 대부분의 여성은 기대 수명의 증가로 인해 인생의 1/3 이상을 폐경 후 증상과 함께 보내며, 2030년까지 폐경 여성 인구는 12억 명에 이를 것으로 예상. 호르몬 대체 요법(HRT)은 폐경 증상을 개선하는 방법이지만, 장기 사용 시 여러 부작용과 암 위험이 증가할 수 있어 효과적인 대안이 필요.
최근에는 부작용 없이 폐경 증상을 완화하기 위해 프로바이오틱스를 활용하는 연구가 늘어나고 있으며, 이는 뼈 건강, 수면 장애, 우울증 등의 폐경 관련 증상 개선에 도움이 되는 것으로 나타났음. Lactobacillus gasseri BNR17은 원래 인간 모유에서 분리된 프로바이오틱스로, 과민성 대장 증후군, 체중 조절, 2형 당뇨병 등에 긍정적인 효과를 보이는 것으로 알려져 있음. 본 연구에서는 난소 절제(OVX) 쥐 모델을 사용하여 L. gasseri BNR17이 폐경 증상을 개선하고 뼈 질량을 증가시키는 효과를 확인.

결과분석: L. gasseri BNR17 투여가 OVX 쥐의 뼈 손실에 미치는 영향.
골다공증은 낮은 뼈 밀도로 인해 골절 위험이 증가하는 질환으로, 에스트로겐 수치가 낮아지는 폐경 후 여성에게서 발생률이 높음. OVX 쥐는 골다공증 연구에 널리 사용되는 동물 모델로, 본 연구에서는 Lactobacillus gasseri BNR17이 OVX 쥐의 뼈 구조에 미치는 영향을 μ-CT로 분석했음. 연구 결과, BNR17을 투여한 쥐는 대조군에 비해 골 손실이 적고, 더 높은 골량을 유지한 것으로 나타났음. 이는 L. gasseri BNR17이 OVX 쥐에서 골 손실을 예방하는 데 도움이 될 수 있음을 시사.
[논문서칭 4] 고당분식이로 유발된 비만 마우스에서 Lactobacillus gasseri BNR17의 항비만 효과

연구내용:
이전 연구에서 Lactobacillus gasseri BNR17이 고당분 식단을 섭취한 쥐에서 체중과 지방조직 증가를 억제하고, 2형 당뇨병 쥐의 포도당 수치를 감소시킨다고 보고. 이번 연구에서는 이러한 효과를 확장하여 C57BL/6J 쥐를 대상으로 10주 동안 BNR17을 투여한 결과, 체중과 백색 지방 조직 무게가 유의미하게 감소. 또한, 지방산 산화 관련 유전자(ACO, CPT1, PPARα, PPARδ)의 발현이 증가하고, 지방산 합성 관련 유전자(SREBP-1c, ACC)의 발현이 감소했으며, 주요 포도당 수송체인 GLUT4의 발현도 증가. 혈청 렙틴과 인슐린 수치 역시 감소. 이 결과는 BNR17의 항비만 작용이 지방산 산화 유전자 발현 증가와 렙틴 수치 감소에 기인하며, 항당뇨 효과는 GLUT4 발현 증가와 인슐린 수치 감소에서 비롯될 수 있음을 시사.

결과분석: L. gasseri BNR17은 내분비 호르몬에 영향.
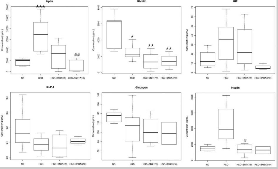
C57BL/6J 마우스에게 10주 동안 BNR17(10^9 또는 10^10 CFU)이 포함된 ND, HSD 또는 HSD를 투여.
BNR17이 체중 조절에 관여하는 위장관 호르몬에 미치는 영향을 조사한 결과, 고당분 식단(HSD) 군에서 증가한 렙틴 수치가 BNR17을 먹인 그룹에서 감소. 또한, BNR17을 투여한 쥐의 인슐린 수치도 유의미하게 낮아짐. 다른 호르몬 수치에는 유의미한 변화가 없었음.
[논문서칭 5] Lactobacillus gasseri BNR17 보충제는 비만 성인의 내장 지방 축적과 허리 둘레를 감소

연구내용: 이 연구는 인간을 대상으로 Lactobacillus gasseri BNR17의 항비만 효과를 평가. 12주 동안 진행된 무작위 이중 맹검 위약 대조 시험에서, BNR17을 고용량(BNR-H, 10^10)으로 섭취한 군은 위약군에 비해 내장 지방 조직(VAT) 면적이 유의하게 감소. 또한, BNR-L과 BNR-H 군 모두에서 허리 둘레가 유의하게 감소. 생화학적 매개변수에서는 군 간에 유의한 차이가 없었지만, 이 결과는 BNR17이 비만 성인의 내장 지방 감소에 도움이 될 수 있음을 시사.
[논문서칭 6] 2형 당뇨병 마우스 모델에서 Lactobacillus gasseri BNR17이 혈당 수치와 체중에 미치는 영향

연구내용: 이 연구에서는 Lactobacillus gasseri BNR17이 C57BL/KS/J db/db 마우스 모델에서 혈당 수치를 낮추고, 과식증과 다뇨증 등 다양한 당뇨병 증상을 개선하는 효과를 평가했음. BNR17은 이전에 인간 모유에서 분리된 프로바이오틱스로, 이번 연구를 통해 2형 당뇨병 관리에 잠재적인 효능이 있음을 확인했음.

결과분석: L. gasseri BNR17 투여후12주 동안의 OGTT 결과.
실험 시작 전 모든 군에서 혈당 수치는 유사했음. 3주 후, 로시글리타존 군과 BNR17 군에서 포도당 내성이 손상되었으나, AUC 포도당 값은 로시글리타존 군에서만 유의하게 낮았음. 6주와 9주에는 BNR17 군에서 포도당 내성이 용량 의존적으로 개선되었고, 9주차에는 로시글리타존 군과 BNR17(10) 군의 AUC 포도당이 각각 71.7%와 49.6% 유의미하게 감소. 그러나 BNR17(10) 군에서는 12주차에 AUC 포도당의 유의한 감소가 관찰되지 않았음.
락토바실러스 가세리 BNR17(모유에서 유래된 유산균)의 효능을 논문 서칭을 통해 공부하다보니,
다양한 연구를 통해 그 효과를 입증한 것이 눈에 확 ~~~
그 결과에 정확성을 더하기 위해 다양한 평가항목을 추가했음이 인상적인.
아.... 폐경을 겪어야하는 1인으로서
호르몬 변화, 근감소, 체지방 증가 , 과민성 대장 증후군 등등등
생각을 하면 왠지 락토바실러스 가세리 BNR17에게 흔들리네요.
'논문으로 살펴보기&건강바디프로젝트' 카테고리의 다른 글
| [다이어트 보조제] [내돈내산] 체지방 감소 유산균 '비에날씬' (1) | 2024.09.26 |
|---|---|
| 내돈내산: 붓기제거 스웰픽 Swellpick [7day 후 변화] (0) | 2024.08.23 |
| [다이어트: 체지방 감소 기능성 원료 - 가르시아캄보지아] (0) | 2024.08.18 |
| [다이어트 보조제] 가장 많이 팔린 TOP 10 -(원료:가르시니아캄보지아) (0) | 2024.08.18 |
| AMPK와 운동(Exercise) (1) | 2024.08.18 |