오늘은 부추에 대해 잠깐 서칭해볼까 해요.
시골에서 가져온 부추에 또 인스타에서 본 레시피로 인해
넘 간단하게 요리를 해먹을 수 있다보니 예전보다 더 부추가 좋아지네요.
남자분들이 유독.... 선호하는 식품 중에 하나 ^^

제가 좋아하는 PubMed에서 부추 관련 최신 논문 두 편 소개할께요.

그리고 부추 뿌리에 대한 리뷰 논문.

1. 부추 뿌리의 영양분
신선한 뿌리 100g당 수분 함량은 81.8g, 당은 2.43g, 조단백질은 1.51g, 셀룰로오스는 0.73g, 아스코르브산은 3.3mg, 인은 74mg, 칼슘은 26mg, 철은 1.82mg 그리고 소량의 휘발성 오일 (독특한 풍미를 냄).
풍부한 조섬유는 장 연동 운동을 촉진하고 변비를 예방. 비타민, 인, 칼슘, 철 및 기타 미량 원소는 남성의 성 기능에 긍정적인 영향 미침.
2. 부추 뿌리의 활성화합물

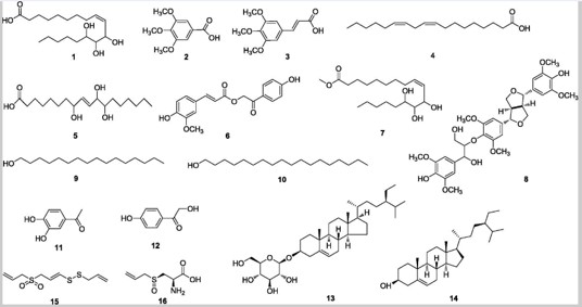
- 황 화합물은 부추 뿌리의 주요 활성 물질이며, 그 다음으로 페놀 화합물과 리그닌 화합물이 있음.
- 휘발성 오일의 주요 함량은 이황화물, 삼황화물이고 사황화물 함량은 적음.
- 부추 뿌리의 화학적 성분에 대한 연구는 거의 없지만, 뿌리가 잎보다 오래되었기 때문에 뿌리에 성분이 더 많이 축적되었을 것으로 추측하고 있음.
- 부추의 휘발성 오일에서 두 가지 페놀성 화합물을 발견했는데, 그 중 부추의 휘발성 오일은 파 뿌리에 특히 풍부.
- 부추 뿌리의 지용성 휘발성 성분에는 불포화지방산이 다량 함유되어 있으며, 이러한 불포화지방산은 혈중지질 감소, 죽상경화 예방, 부정맥 완화, 유아의 뇌발달 등에 효과가 있음.
- 부추 뿌리의 구근 부분에는 대부분 무색 또는 유백색 무정형 분말인 사포닌이 들어 있음.
- 사포닌은 아글리콘의 종류에 따라 트리테르페노이드 사포닌 또는 스테로이드 사포닌으로 나눌 수 있음. 트리테르페노이드 사포닌의 아글리콘은 트리테르페노이드 화합물이고 스테로이드 사포닌의 아글리콘은 나선형 스테란 화합물임. 사포닌은 면역 강화, 콜레스테롤 감소, 혈당 강하, 용혈, 항산화, 항바이러스, 항암, 항염증, 항알레르기, 심혈관 질환 예방 및 치료, 백혈병 치료 등 높은 약리학적 활동을 갖는 천연물 계열임.
3. 부추 뿌리의 식품 적용
부추 뿌리의 구근 부분은 파의 줄기와 잎과 함께 식품 재료로 사용할 수 있음. 요리 후 중국 식탁에서 만두, 찐빵, 케이크, 부추 상자, 부추 튀긴 계란, 부추 튀긴 고기 등 다양한 맛있는 음식이 됨. 부추 뿌리는 파잎만큼 넓게 먹지는 않지만 독특하고 맛있음. 게다가 이러한 부추 기반 요리는 장 연동 운동을 촉진하여 변비를 예방하고 치료할 수 있고, 그들의 최음 작용은 남성 기능 저하를 예방할 수 있음.

4. 부추 뿌리의 약리효과
1. 항균효과 : 뿌리의 휘발성 오일은 Escherichia coli , Salmonella enterica , Shigella dysenteriae , Staphylococcus aureus , Pseudomonas aeruginosa , Streptococcus suis 와 같이 음식을 통해 전파되는 일부 병원균에 대해 상당한 억제 효과가 있으며 Aspergillus flavus Link , Aspergillus niger, Penicillium citrinum Thom 및 Rhizopus nigricans Ehrenberg 와 같은 일부 균류도 억제할 수 있음.
2. 항산화 능력 : 산화 스트레스는 많은 퇴행성 질환과 노화 관련 질환의 발생에 기여. 부추 뿌리에는 신약을 개발할 수 있는 잠재적인 분자인 페놀 화합물이 포함되어 있음.
3. 혈관 내피 기능 보호 : 대부분의 심혈관 질환의 병리학적 기초는 죽상경화증이며, 혈관 내피 기능 장애는 주요 원인 중 하나임. 내피 당단백질은 혈관 내피의 표면에 부착되며, 그 손상과 탈락은 심혈관 질환의 발병 기전과 밀접한 관련이 있음. 부추 뿌리에서 추출한 0.025% 휘발성 오일이 10–80 μL/mL 농도 범위에서 인간 태반정맥 내피세포의 증식을 촉진하고, LPS에 의해 자극된 내피세포 당단백질의 손상과 탈락을 감소시키고, 손상된 내피세포의 기능을 유지하고, 당단백질의 복구를 촉진하고, eNOS를 활성화하고, NO 생성을 증가시킬 수 있음. 또한, 부추 뿌리 추출물이 죽상경화 마우스의 동맥 혈관 내피 당단백질을 효과적으로 보호하고, 손상과 탈락을 감소시키고, 동맥 혈관 내피에서 Caveolin-1의 발현을 상향 조절하고, 내피 항상성을 유지하고, eNOS를 활성화하고, NO 방출을 증가시키고, 혈소판 응집을 억제하고, 평활근 세포를 이완시키고, 백혈구 접착을 방지할 수 있다는 것을 발견.
4. 거담작용 : 부추 뿌리의 사포닌은 위 점막을 자극하고 반사적으로 호흡기 점막 분비를 증가시켜 거담 효과를 보임.
5. 안정성 평가
부추 뿌리는 수천 년 동안 매우 안전한 식품으로 입증되었으며 과도한 섭취는 소화 문제를 일으킬 수 있음.
홍거 (서기 283~363)의 고대 중국 의학 처방 모노그래프인 주후북지방은 주로 급성 발작에서 다양한 질병의 치료 처방, 침술 및 외용을 기록하며, 부추 뿌리의 복용량이 흉통 치료에 1155 g에 이를 수 있다고 기록하여 부추 뿌리가 높은 안전성을 가지고 있음을 보여 줌.
그러나 부추 뿌리의 안전성에 대한 연구는 거의 없으며 부추 뿌리의 안전한 복용량에 대한 명확한 결론은 없기에 가능한 한 빨리 부추 뿌리의 안전한 복용량에 대한 연구가 필요함.
부추에 좋은 효과가 있다는 걸 알았지만 부추 뿌리 또한 효과가 탁월하네요.
이제는 부추 잎만이 아니라 뿌리까지 잘 씻어 먹는 것으로 결~~~~~정.
'논문으로 살펴보기&건강바디프로젝트' 카테고리의 다른 글
| [비만] 비만 그리고 호르몬 (0) | 2024.07.16 |
|---|---|
| [계란] 계란에 대해 난 알고 싶다. (0) | 2024.07.16 |
| [인슐린] Insulin이 하는 일 (0) | 2024.07.12 |
| [마취제] 위내시경 시 사용되는 마취제? (1) | 2024.07.09 |
| [꿀피부] 비싼 재생크림은 이젠 바이바이 ~ (0) | 2024.07.04 |




